Baidu
map

陕西2025年整体实施新高考,3+1+2赋分制详解!陕西一所985高校,异地布局!

分类:教育资讯 时间:2022-12-07 来源:本站 作者:江牧
陕西省高考综合改革政策说明


我省新高考综合改革从2022年全面启动,2025年整体实施新高考。面对新高考,学生和家长们自然有很多担忧的问题,其中问题最多的当然要属“赋分制”了,毕竟这将直接关系到学生的高考成绩,原本学生可以考600分,赋分完之后变成了590分,学生心中肯定会有失落感。


今天给大家整理新高考“3+1+2”模式中的赋分制,以帮助新高一学生及家长提前了解,为选科做好准备!


★新高考实行后,高考的总成绩构成是:

总成绩(满分750分)=统一高考科目成绩(450分)+选考科目成绩(300分),具体如下图:


7e009c5094f1fcf9e0e60adc797c89ad_640_wx_fmt=png&wxfrom=5&wx_lazy=1&wx_co=1.png


可见,思想政治、地理、化学、生物这4门再选科目是按【等级赋分】计入高考总成绩的。也就是说,这4门科目的卷面原始分数,未必是最终计入高考总成绩的分数。那么,等级赋分怎么计算?等级赋分受哪些因素影响呢?

★等级赋分使用的科目:思想政治、地理、化学、生物

★等级赋分的基本思路是:
将每门选考科目的同一类型考生成绩按照分数高低依次排序。排序中,根据人数比例划分不同等级,按照公式赋予不同等级分。

★等级赋分的含义和赋分办法是:

680e5646fc99e36d76c9bd5d59b45b80_640_wx_fmt=png&wxfrom=5&wx_lazy=1&wx_co=1.png


等级分的满分值为100分,起点分值为30分。也就是说,假如考生考了0分,排到E等级。赋分后,最少也有30分。

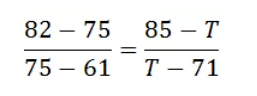
【例如】李华同学政治学科原始分为75分,再假设政治学科B等级原始分区间为【82~61】,则李华同学政治学科为B等级;下面进行赋分换算:B等级的赋分区间【85~71】(固定不变),那么李华同学赋分后分数为:

图片


解得,T≈80.33;四舍五入后李华同学政治学科最终赋分成绩为80。

5704fb3f6ba9d06465369b33a48ad2cc_640_wx_fmt=png&wxfrom=5&wx_lazy=1&wx_co=1.png


大家首先注意两点:
1.等级赋分制不是按照考生的卷面分数来计算成绩。遵循“原始分数——百分比例——等级——转化分数”的等级赋分路径。


2.等级赋分由相关主管部门自动完成,大家在查询到自己的高考成绩时,看到的已经是赋分后的分数,不需要大家自行换算。



★新高考等级赋分的影响




新高考改革后,思想政治、地理、化学、生物这四门选考科目的等级赋分,不仅受到卷面分数影响,还与命题难易程度、所选科目人数等息息相关。

(1)考生成绩进行等级转换后,与原始分(卷面分)相比,可能偏高,可能偏低,也有可能相等,这主要取决于命题的难易程度。如果题目偏简单,考生原始分数就会整体偏高,转换后的等级分数低于原始分数的可能性就比较大;反之,如果题目偏难,考生原始分数会整体偏低,转换后的等级分数就可能高于原始分数。

(2)当排名固定时,选考同一类型科目的人数越多,该科目赋高分的机会越多。


假设王飞同学选考化学科目,原始分94分。如果全省共有5万人选考化学,王飞排3000名,按照等级比例,他的等级为A;如果1万人选考,那么同样考3000名,就成为B等级,最后的赋分也会差一个等级。


相比于以前“分数大于天”的情况,高考综合改革后,我们要更重视学科的排名。面对更加激烈的竞争,你准备好了吗?



揭牌!西北工业大学,异地布局!


11月26日,西北工业大学海洋研究院成立大会在江苏太仓召开。西北工业大学领导、太仓市领导、国内18名相关领域院士以及100多位领导专家学者和嘉宾等通过线上+线下的方式,出席成立大会。


da447dd945290e0cafce5dfe2bc7d4e7_640_wx_fmt=jpeg&wxfrom=5&wx_lazy=1&wx_co=1.jpg


上午9时,西北工业大学海洋研究院成立大会开幕,会议由西北工业大学副校长宋保维主持。西北工业大学党委副书记万小朋,太仓市委常委、常务副市长吴敬宇,马远良院士,徐德民院士,杨士莪院士,陶文铨院士,何友院士,邱志明院士,陆军院士,李华军院士,张平院士,江碧涛院士,中国船舶集团盛纪纲副总经理、中科院声学所李风华所长,哈尔滨工程大学殷敬伟副校长分别致辞。


海洋研究院院长杨坤德介绍了海洋研究院情况。万小朋、宋保维、西北工业大学航海学院院长潘光以及杨坤德共同为海洋研究院揭牌。


西北工业大学海洋研究院是为进一步加强西北工业大学航海特色建设,拓展海洋学科,汇聚优秀人才,开展特色鲜明的科学研究、人才培养和队伍建设而成立。海洋研究院坚持“聚焦需求、增量发展、交叉融合、开拓创新”发展思路,重点瞄准国家重大需求和国际科技前沿,汇聚涉海创新力量,深化科学研究、人才培养、队伍建设,立足于将海洋研究院建设成为船舶与海洋工程学科的新高地。海洋研究院的成立也将为捍卫我国领海安全,发展海洋事业,培育海洋人才提供强有力保障。




版权声明

本网原创,未经许可,不得转载。【注:凡注明“来源:XXX(非西安中考网 m.hytale-nav.com)”的作品,均转载自其它媒体,转载目的在于传递更多信息,并不代表本网赞同其观点和对其真实性负责;如因作品内容、版权和其它问题需要同本网联系的,请在30日内进行。邮箱:xazgknews@163.com】

标签
二维码

扫一扫 在手机阅读、分享本文

必看
必看
  • 西安市鄠邑区甘亭中心学校荣获西安市“红领巾法学院”示范学校称号
  • 西安市鄠邑区东关小学:规范课外读物 落实“五项管理
  • 周至县广济初中课后服务旗操
  • 标签
    热榜
    QQ

    微信扫一扫

    WeChat
    Top
    Baidu
    map