Baidu
map

“韦神”出题,初二学生给出标准答案!

分类:教育资讯 时间:2023-03-28 来源:本站 作者:江牧

近日,北京大学北京国际数学研究中心推出的一道数学题,获得了数学爱好者的广泛关注。


出题的是北京大学数学科学学院研究员,第49届、第50届国际数学奥林匹克竞赛满分金牌得主韦东奕。


一起来看看“韦神”出的这道题吧!


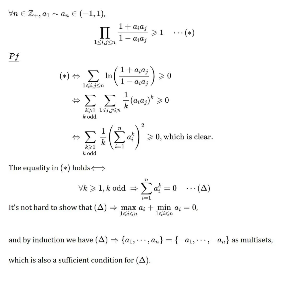
题目


60ca0fd3c9d92881af9f21db9f94b71c_640_wx_fmt=png&wxfrom=5&wx_lazy=1&wx_co=1.png


截至目前,已有近百位读者提交了解答。出题人韦东奕从中挑选了三份作为“较好的解答举例”。据韦东奕介绍,本题的解答线索只有一个,因此他挑选出来的三份解答相似度高,均可以作为标准答案来使用。


特别是其中有一位初中二年级的同学,给出了简洁、完备的答案,令人欣喜。


较好的解答案例


解答1 答题人来自国内某大学



fbeb58b166c84e45d66775ae129ca006_640_wx_fmt=png&wxfrom=5&wx_lazy=1&wx_co=1.png

18dc91d42b31c718a0c212da3d8e18df_640_wx_fmt=png&wxfrom=5&wx_lazy=1&wx_co=1.png


解答2 答题人来自国内某中学


abb1969b91ed40905c26ad3a54789194_640_wx_fmt=jpeg&wxfrom=5&wx_lazy=1&wx_co=1.jpg


解答3 答题人来自海外某大学


cdb392dc406bec2cb65fa2c3ac6193af_640_wx_fmt=jpeg&wxfrom=5&wx_lazy=1&wx_co=1.jpg



网友评论




3a7beec0cab6bb4a562e1a24b156868d_640_wx_fmt=jpeg&wxfrom=5&wx_lazy=1&wx_co=1.jpg709e4204ff0697c45732e640e7641398_640_wx_fmt=jpeg&wxfrom=5&wx_lazy=1&wx_co=1.jpgcb909ddd62d73b396fcea41d3d8a7386_640_wx_fmt=jpeg&wxfrom=5&wx_lazy=1&wx_co=1.jpga15dea89386f0c033f182cddeb3c5f5c_640_wx_fmt=jpeg&wxfrom=5&wx_lazy=1&wx_co=1.jpg



你能答出来吗?图片

◆来源 | 人民网、北京大学




版权声明

本网原创,未经许可,不得转载。【注:凡注明“来源:XXX(非西安中考网 m.hytale-nav.com)”的作品,均转载自其它媒体,转载目的在于传递更多信息,并不代表本网赞同其观点和对其真实性负责;如因作品内容、版权和其它问题需要同本网联系的,请在30日内进行。邮箱:xazgknews@163.com】

标签
二维码

扫一扫 在手机阅读、分享本文

必看
必看
  • 西安市鄠邑区甘亭中心学校荣获西安市“红领巾法学院”示范学校称号
  • 西安市鄠邑区东关小学:规范课外读物 落实“五项管理
  • 周至县广济初中课后服务旗操
  • 标签
    热榜
    QQ

    微信扫一扫

    WeChat
    Top
    Baidu
    map